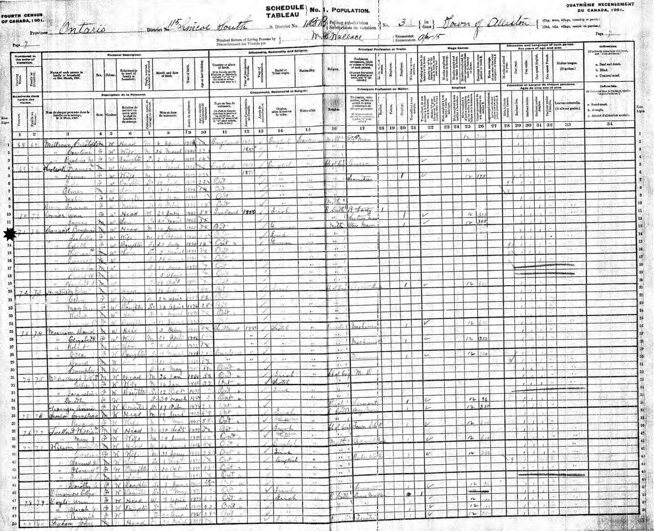
Notes for HERBERT LESLIE CONRAD:

Son of Benjamin Franklin and Isabelle (Collison) Conrad.
Born: October 19, 1899 in Alliston, Ontario, Canada.
Died: January 2, 1970 in Los Angeles County, California.
Buried: Cedar Memorial Park, Cedar Rapids, Linn County, Iowa.
Census:
April 25, 1940 - Assembly District 63, Supervisor's District 15, Enumeration District 61-512, Los Angeles, Los Angeles County, California.
Residence:
1925 - Spokane, Spokane County, Washington.
February 15, 1942 - 1436 Brownie Blvd, Los Angeles, Los Angeles County, California.
Occupation:
April 27, 1923 - Book Binder.
1925 - Paper Ruler.
April 25, 1940 - Paper Ruler, Print Shop.
Military:
February 15, 1942 - WWII Registration Date.
Married: (1) Unknown Wife #1 before 1923 in Unknown.
(2) Myrtle May Hutchcroft June 27, 1923 in Cedar Rapids, Linn County, Iowa.


1901 Canada Census


1940 Census


WWII Draft Registration Card


Marriage Register


Obituary